86-0755-27838351

頻率:25MHZ
尺寸:5.00x3.20mm
6G以太網晶振,XUX515025.000000K,Renesas有源振蕩器,尺寸5.00x3.20mm,頻率25MHZ,輸出邏輯HCMOS,歐美進口晶振,Renesas貼片晶振,OSC振蕩器,XO時鐘振蕩器,HCMOS輸出晶振,SMD振蕩器,進口有源振蕩器,有源貼片晶振,有源晶體振蕩器,石英晶體振蕩器,六腳貼片晶振,5032mm有源晶振,25MHZ有源振蕩器,高性能有源晶振,高品質有源晶振,低電壓有源晶振,低損耗有源晶振,低功耗有源晶振,儀器設備晶振,平板電腦晶振,智能家居晶振,6G以太網專用晶振,6G路由器晶振,具有低功耗高品質的特點。
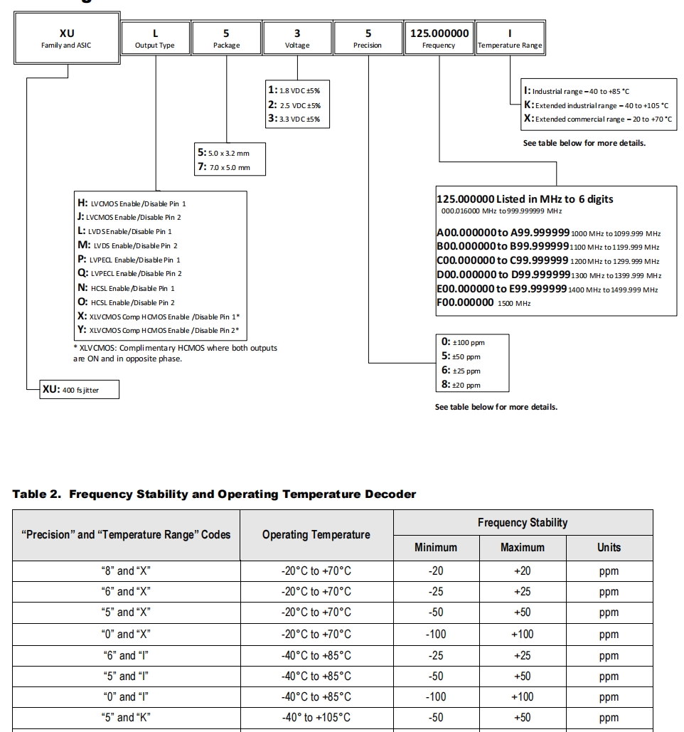
XU器件是低相位噪聲石英基PLL振蕩器,支持大范圍的頻率和輸出接口類型。這些石英晶體振蕩器被設計為操作在三種不同的電源供應,并可在多種包裝尺寸和溫度等級。通過專利的一次性程序(OTP)允許無限內存保質期,XU設備可以編程產生從16 kHz到1500MHz的輸出頻率,分辨率低至1Hz。該系列設備的配置能力允許樣品和大型生產訂單的快速交付時間。6G以太網晶振,XUX515025.000000K,Renesas有源振蕩器.
6G以太網晶振,XUX515025.000000K,Renesas有源振蕩器,尺寸5.00x3.20mm,頻率25MHZ,輸出邏輯HCMOS,歐美進口晶振,Renesas貼片晶振,OSC振蕩器,XO時鐘振蕩器,HCMOS輸出晶振,SMD振蕩器,進口有源振蕩器,有源貼片晶振,有源晶體振蕩器,石英晶體振蕩器,六腳貼片晶振,5032mm有源晶振,25MHZ有源振蕩器,高性能有源晶振,高品質有源晶振,低電壓有源晶振,低損耗有源晶振,低功耗有源晶振,儀器設備晶振,平板電腦晶振,智能家居晶振,6G以太網專用晶振,6G路由器晶振,具有低功耗高品質的特點。
XU器件是低相位噪聲石英基PLL振蕩器,支持大范圍的頻率和輸出接口類型。這些石英晶體振蕩器被設計為操作在三種不同的電源供應,并可在多種包裝尺寸和溫度等級。通過專利的一次性程序(OTP)允許無限內存保質期,XU設備可以編程產生從16 kHz到1500MHz的輸出頻率,分辨率低至1Hz。該系列設備的配置能力允許樣品和大型生產訂單的快速交付時間。6G以太網晶振,XUX515025.000000K,Renesas有源振蕩器.
6G以太網晶振,XUX515025.000000K,Renesas有源振蕩器 參數表
| Symbol | Parameter | Output Type | Conditions | Minimum | Typical | Maximum | Units | ||
| IDD | Current Consumption | LVDS | 0.016MHz to 400MHz. | 97 | mA | ||||
| 400.000+MHz to 1.5GHz. | 122 | ||||||||
| LVPECL | 0.016MHz to 212.5MHz. | 115 | |||||||
| 212.5+MHz to 400MHz. | 128 | ||||||||
| 400+MHz to 670MHz. | 142 | ||||||||
| HCSL | 0.016MHz to 670MHz. | 145 | |||||||
| LVCMOS | 0.016MHz to 62.5MHz. | 98 | |||||||
| 62.5+MHz to 167MHz. | 108 | ||||||||
| Table 7. 2.5V IDD DC Electrical Characteristics | |||||||||
| V DD = 2.5V ±5%, TA = -20°C to +70°C; -40°C to +85°C, -40°C to +105°C. | |||||||||
| Symbol | Parameter | Output Type | Conditions | Minimum | Typical | Maximum | Units | ||
| IDD | Current Consumption | LVDS | 0.016MHz to 400MHz. | 90 | mA | ||||
| 400.000+MHz to 1.35GHz. | 103 | ||||||||
| LVPECL | 0.016MHz to 156.25MHz. | 102 | |||||||
| 156.25+MHz to 400MHz. | 112 | ||||||||
| 400+MHz to 670MHz. | 118 | ||||||||
| HCSL | 0.016MHz to 400MHz. | 102 | |||||||
| 400.000+MHz to 670MHz. | 112 | ||||||||
| LVCMOS | 0.016MHz to 62.5MHz. | 80 | |||||||
| 62.5+MHz to 125MHz. | 85 | ||||||||
| 125+MHz to 167MHz. | 92 | ||||||||
6G以太網晶振,XUX515025.000000K,Renesas有源振蕩器 尺寸圖
有源晶振產品特性:
頻率范圍:0.016MHz至1500MHz[1]
輸出類型:LVDS、LVPECL、HCSL、LVCMOS
電源電壓選項:1.8V、2.5V或3.3V
相位抖動(1.875MHz至20MHz):典型100fs
相位抖動(12kHz至20MHz):典型300fs
程序包選項:
5.0×3.2×1.2毫米
7.0×5.0×1.3毫米
工作溫度:-20°C至+70°C
頻率穩定性選項:±20、±25、±50或±100ppm
工作溫度:-40°C至+85°C
頻率穩定性選項:±25、±50或±100ppm
工作溫度:-40°C至+105°C
頻率穩定性選項:±50或±100 ppm
| Mfr Part # | 晶振廠家 | Description | Series | Frequency | Output |
| XLH538128.000000X | Renesas晶振 | XTAL OSC XO 128.0000MHZ HCMOS | XPRESSO FXO-HC53 | 128 MHz | HCMOS |
| XLH538121.500000X | Renesas晶振 | XTAL OSC XO 121.5000MHZ HCMOS | XL | 121.5 MHz | HCMOS |
| XLH538108.000000X | Renesas晶振 | XTAL OSC XO 108.0000MHZ HCMOS | XL | 108 MHz | HCMOS |
| XUX735080.000000X | Renesas晶振 | XTAL OSC XO 80.0000MHZ HCMOS SMD | XU | 80 MHz | HCMOS |
| XLH538148.500000X | Renesas晶振 | XTAL OSC XO 148.5000MHZ HCMOS | XL | 148.5 MHz | HCMOS |
| XLH538133.333000X | Renesas晶振 | XTAL OSC XO 133.3330MHZ HCMOS | XL | 133.333 MHz | HCMOS |
| XLH538156.250000X | Renesas晶振 | XTAL OSC XO 156.2500MHZ HCMOS | XL | 156.25 MHz | HCMOS |
| XLH538155.520000X | Renesas晶振 | XTAL OSC XO 155.5200MHZ HCMOS | XL | 155.52 MHz | HCMOS |
| XUX730080.000000I | Renesas晶振 | XTAL OSC XO 80.0000MHZ HCMOS SMD | XU | 80 MHz | HCMOS |
| XUX515024.000000I | Renesas晶振 | XTAL OSC XO 24.0000MHZ H/LV-CMOS | XU | 24 MHz | HCMOS, LVCMOS |
| XUX538050.000000X | Renesas晶振 | XTAL OSC XO 50.0000MHZ HCMOS SMD | XU | 50 MHz | HCMOS |
| XUX535156.250000I | Renesas晶振 | XTAL OSC XO 156.2500MHZ HCMOS | XU | 156.25 MHz | HCMOS |
| XUX738000.024000X | Renesas晶振 | XTAL OSC XO 24.0000KHZ HCMOS SMD | XU | 24 kHz | HCMOS |
| XUX716019.440000I | Renesas晶振 | XTAL OSC XO 19.4400MHZ HCMOS SMD | XU | 19.44 MHz | HCMOS |
| XUX515025.000000K | Renesas晶振 | XTAL OSC XO 25.0000MHZ HCMOS SMD | XU | 25 MHz | HCMOS |
| XUX510125.000000X | Renesas晶振 | CLCC 5.00X3.20X1.10 MM, 2.54MM P | XU | 125 MHz | HCMOS |
| XUX730000.020000X | Renesas晶振 | CLCC 7.00X5.00X1.30 MM, 2.54MM P | XU | 20 kHz | HCMOS |
| XUX736040.000000I | Renesas晶振 | CLCC 7.00X5.00X1.30 MM, 2.54MM P | XU | 40 MHz | HCMOS |
| XUX515156.250000I | Renesas晶振 | CLCC 5.00X3.20X1.10 MM, 2.54MM P | XU | 156.25 MHz | HCMOS |
| XUX515125.000000I | Renesas晶振 | CLCC 5.00X3.20X1.10 MM, 2.54MM P | XU | 125 MHz | HCMOS |
| XUX515025.000000I | Renesas晶振 | CLCC 5.00X3.20X1.10 MM, 2.54MM P | XU | 25 MHz | HCMOS |
| XUX515100.000000I | Renesas晶振 | CLCC 5.00X3.20X1.10 MM, 2.54MM P | XU | 100 MHz | HCMOS |
| XLH53V002.048000X | Renesas晶振 | XTAL OSC VCXO 2.0480MHZ HCMOS | XPRESSO FVXO-HC53 | 2.048 MHz | HCMOS |
| XLH53V001.544000X | Renesas晶振 | XTAL OSC VCXO 1.5440MHZ HCMOS | XPRESSO FVXO-HC53 | 1.544 MHz | HCMOS |
| XLH538250.000000X | Renesas晶振 | XTAL OSC XO 250.0000MHZ HCMOS | XPRESSO FXO-HC53 | 250 MHz | HCMOS |
| XLH538225.000000X | Renesas晶振 | XTAL OSC XO 225.0000MHZ HCMOS | XPRESSO FXO-HC53 | 225 MHz | HCMOS |
| XLH538210.000000X | Renesas晶振 | XTAL OSC XO 210.0000MHZ HCMOS | XPRESSO FXO-HC53 | 210 MHz | HCMOS |
| XLH538200.000000X | Renesas晶振 | XTAL OSC XO 200.0000MHZ HCMOS | XPRESSO FXO-HC53 | 200 MHz | HCMOS |
| XLH538133.632000X | Renesas晶振 | XTAL OSC XO 133.6320MHZ HCMOS | XPRESSO FXO-HC53 | 133.632 MHz | HCMOS |
| XLH538125.000000X | Renesas晶振 | XTAL OSC XO 125.0000MHZ HCMOS | XPRESSO FXO-HC53 | 125 MHz | HCMOS |
| XLH538116.000000X | Renesas晶振 | XTAL OSC XO 116.0000MHZ HCMOS | XPRESSO FXO-HC53 | 116 MHz | HCMOS |
| XUX536125.000000I | Renesas晶振 | CLCC 5.00X3.20X1.10 MM, 2.54MM P | XU | 125 MHz | HCMOS |
| XUX738210.000000X | Renesas晶振 | CLCC 7.00X5.00X1.30 MM, 2.54MM P | XU | 210 MHz | HCMOS |



電話:+86-0755-278383514
手機:138-2330-0879
QQ:632862232
地址:廣東深圳市寶安寶安大道東95號浙商銀行大廈1905